
Vzhledem k neúměrné délce vznikajícího textu jsem musel povídání o přesnosti GNSS rozdělit na dvě části. Nicméně než budeme pokračovat ve zpřesňování měření a tím i polohy, zkusíme aplikovat znalosti získané minule na jedné aktualitě, totiž fixu polohy z GNSS na cestě k Měsíci i jeho povrchu.
Experiment LuGRE
Lunar GNSS Receiver Experiment (LuGRE) na palubě modulu Blue Ghost má za cíl prokázat možnost navigace pomocí GNSS signálů i daleko od Země – na cestě k Měsíci i jeho povrchu. Začátkem března se NASA pochlubila, že onen GNSS přijímač úspěšně spočítal polohu, a to po cestě (včetně dálkového rekordu, cca 390 tisíc km od Země) i na povrchu Měsíce (to už bylo o něco blíž, cca 360 tisíc km daleko).
Jsa GNSS důchodce, hned se mi vzadu v hlavě rozběhl tok myšlenek, jak to asi udělali a co všechno se stavělo do cesty.
Tak třeba síla signálu: běžně „letí“ cca 20 tisíc km, k Měsíci to měl minimálně 18krát dál. Protože síla signálu klesá se čtvercem vzdálenosti, snadno spočteme, že na Měsíci má zhruba o 25 dB méně než na Zemi (velkoryse pomineme útlum v atmosféře). Na Zemi mají signály typicky sílu cca 45-50 dB-Hz, běžné přijímače potřebují pro akvizici lehce pod 40 dB-Hz. Podle webu projektu má použitá anténa zisk 14 dB (oproti běžným -3 dB ve spotřební elektronice), takže se útlum z 25 dB sníží na 11 dB. To už je hratelné, pro přijímače, které jsou pro slabé signály navržené. Lehkou geometrickou úlohou pak lze zjistit, že maximální úhel mezi dvěma satelity bude z pohledu přijímače lehce přes 8 stupňů, takže stačí úzká směrová anténa.
Čili rádiová část vychází, za předpokladu, že anténa přijímače se bude umět zaměřit na Zemi (což evidentně umí). Musíme ale ještě vzít v potaz, že satelity jaksi nevysílají nazdařbůh do vesmíru, ale mají za cíl „ozářit“ hlavně naši planetu. Stran antén v satelitech bohužel nemohu sloužit rozsáhlými znalostmi, v paměti mi utkvělo jen to, že starší generace satelitů měly antény vyzařující výkon rovnoměrně, kdežto nově jsou antény konstruovány tak, aby větší výkon směřovaly do stran. Tím se má z pohledu pozemního pozorovatele srovnat síla signálu satelitů v nadhlavníku s těmi nízko nad obzorem. Ať je to tak či tak, těžko očekávat, že budou satelity vysílat příliš do stran – a já přitom ve svém líném a optimistickém modelu předpokládám, že všechny satelity jsou v rovině kolmé na spojnici přijímače a středu Země. Takže reálné hodnoty budou pouze horší.
Počítáme DOP
Pro p.t. čtenáře snad bude zajímavé využít poznatky z minula a zkusit si spočítat DOP, tedy kvalitu geometrie – byť v tomto případě je kvalita na hony vzdálená všemu, na co jsem z GNSS zvyklý. Víme, že experiment používal GPS a Galileo, oboje pro zjednodušení „posadíme“ do stejné kružnice s poloměrem 26 tisíc km, a všechny satelity po této kružnici rovnoměrně rozmístíme. Vznikne nám tak v podstatě velmi úzký a dlouhý kužel, na jehož základně jsou satelity.
Geometrická matice je seznam jednotkových vektorů od přijímače k satelitu a DOP získáme podle jednoduchého maticového vzorce. Pro 5 satelitů to vychází 6,27, pro deset pak 4,44. Pro ilustraci, HDOP (tedy jen horizontální složka) je 4,42 a VDOP (vertikální složka) 0,32. Intuitivně to odpovídá – na vzdálenost od Země máme spoustu dobrých měření, problém je směr „do stran“.
Znovu opakuji, toto jsou velmi optimistická čísla, neboť reálně může přijímač zachytit signály satelitů ze vzdálenější polosféry kolem Země (a to určitě ne celé, v závislosti na vyzařovací charakteristice antén); satelity nebudou všechny na jedné ideální kružnici, ale budou roztroušené porůznu po oné polosféře, včetně poloh v zákrytu za Zemí; a konečně roli bude hrát i vzájemná poloha Země a Měsíce a tedy „natočení“ roviny GNSS vůči přijímači (což jde úplně mimo mě).
V zásadě ale platí, že poloha by spočítat jít měla, byť její přesnost nebude podle pozemských měřítek zářná. Na druhou stranu, běžné metody určování polohy ve vesmíru taky nejsou zrovna na metr přesné a závisí na interakci s pozemními středisky. Výhodou GNSS tak má být nezávislost a nejspíš i vyšší přesnost, což měl právě experiment LuGRE ověřit.
Reality check
Tady někde bych mohl jako správný matematik spokojeně skončit („řešení existuje“), ale zajímalo mě, jestli už byla vydána nějaká technická zpráva. Nedělal jsem si valné naděje, toto je bezpochyby skvělý materiál na objetí několika prestižních konferencí, ale podařilo se mi najít dvě informativní prezentace: jednu z jedné takové konference v lednu 2022 a druhou z roku 2023.
V té první si všimneme, že v popisu hardware je u antény uvedeno „field of view 10deg“, takže naše úvaha o úhlech byla správná. Ještě si vypůjčím pěkný obrázek ilustrující, jak moc omezený výběr satelitů přijímač na Měsíci má, a také graf očekávané síly signálu. Náš odhad, že síla signálu bude (hluboko) pod 40 dB-Hz sedí. Nízké hodnoty mají zřejmě na svědomí signály zachycené z vedlejších laloků.

Ilustrace, jakým způsobem se může GNSS signál dostat až na Měsíc. Povšimněte si výzev vlevo dole a srovnejte s našimi hrubými odhady
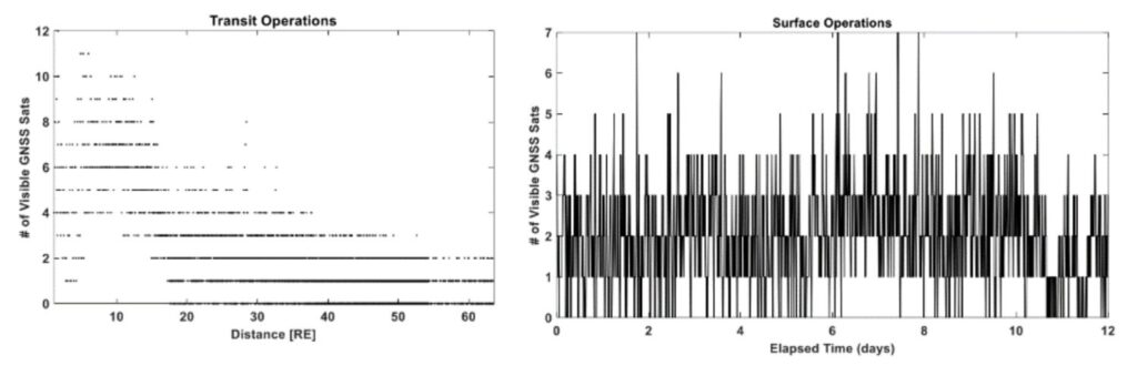
Druhá prezentace je z dílny italské společnosti Qascom, která na projektu spolupracovala, a ze které si vytáhnu několik grafů. S jejím šéfem jsem vypil něco italského vína, tak snad mu to nebude vadit. Inženýři z Qascomu si dali tu práci, co já ne, a poctivě provedli simulace pro dva scénáře – jeden pro spoustu bodů cestou k Měsíci a jeden na jeho povrchu. První graf ukazuje, že můj odhad na počet viditelných satelitů (při výpočtu DOP) byl skutečně až příliš optimistický, třebaže GPS nyní operuje s 31 a Galileo s 27 provozuschopnými satelity. I tak jste na Měsíci rádi, když k vám doputuje dost signálů aspoň na fix (z druhé strany, skoro všechny viditelné satelity jsou prý GPS, neboť pro Galileo použili až příliš konzervativní předpoklady).
Může se zdát, že graf vlevo dává až příliš dobré výsledky, nicméně nezapomeňme, že zahrnuje i místa blízko Země (graficky to je znázorněno na onom slide č. 5 nahoře). Těm budou pravděpodobně odpovídat body na grafu, kdy je vysoký počet viditelných satelitů, byť to je moje ničím nepotvrzená domněnka. Vpravo je pak samotný povrch Měsíce a nevypadá to na mnoho příležitostí na fix – nejčastěji jsou vidět pouze dva až tři satelity… Ale podle prezentace NASA by fix měl být k dispozici více než 10 procent času.
Druhá sada grafů je ještě zajímavější, protože jednak pracuje s až 14 satelity naráz (což v první sadě vůbec není), jednak ukazuje spočtenou DOP – a ano, byli jsme velicí optimisté. I v nejlepších případech je HDOP někde kolem 150 (odečteno od oka), takže každý metr statistické chyby v pseudorange znamená zvětšení okruhu pro 1σ o 150 metrů. Graf chyby v poloze je ideální kandidát na zařazení do katalogu odstrašujících případů, jak grafy nedělat, protože z něho nevyčtete skoro nic. Jó, být tam třeba histogram…
Celkově vzato, nesoulad mezi oběma sadami grafů by mi určitě stál za otázku na prezentujícího, ale časy mé osobní účasti na konferencích jsou již pryč. Teď už jen v důchodu čekám na vydání technických zpráv a podrobností o tom, jak to na Měsíci skutečně s GNSS vypadá – jaké byly počty a síla skutečně zachycených signálů, DOP… Pokud se dočkám a přes různé paywally proniknou informace i na veřejnost (a bude to tu ještě někoho zajímat), rád se o to podělím.
16.03.2025 Zajíc
Související články:
- Od metrů po milimetry 1: Nesourodé povídání o satelitních navigacích (16.2.2025), zajic
- Posloucháte v rádiu dopravní zpravodajství? A bylo vám to někdy k něčemu? (21.10.2018), 156
5 132x přečteno












(87x známkováno, průměr: 1,11 z 5)